找回密码
 注册

一键登录:

扫描二维码登录本站

手机号码,快捷登录

手机号码,快捷登录

搜索

华西医院康复医学喻鹏铭/老年医学何家源团队:术前吸气肌训练可改善择期心脏瓣膜手术患者术前的肺功能... ...

2025-1-18 12:39| 发布者: 沙鑫| 查看: 1000| 评论: 0|来自: 华西大刊论文解读

摘要: 四川大学华西医院康复医学中心喻鹏铭/老年医学研究中心何家源团队于2025年1月在Journal of Physiotherapy发表文章“Preoperative inspiratory muscle training improves lung function prior to elective heart valv ...
 四川大学华西医院康复医学中心喻鹏铭/老年医学研究中心何家源团队于2025年1月在Journal of Physiotherapy发表文章“Preoperative inspiratory muscle training improves lung function prior to elective heart valve surgery and reduces postoperative lung function impairment and pulmonary complications: a randomised trial”(点击二维码阅读原文)。本研究探讨了在物理治疗师指导下为择期心脏瓣膜手术患者实施为期3天的术前吸气肌训练(3DPOIMT)的可行性和有效性,为该技术在中国的落地推广提供了新的证据,并为全球范围内该训练提供了一种新的参考模式。

择期心脏瓣膜手术患者围术期康复管理的重点和难点之一是预防术后肺部并发症的发生。术后肺部并发症的发生,不仅对患者产生短期和长期的负面影响,显著增加住院时间和住院花费,甚至导致无效的手术结局[1]

国外的研究证实对该类患者术前进行院外1~2周的吸气肌训练可以预防和降低术后肺部并发症的发生[2]。但这在中国并不可行,因为目前中国院外社区康复并不支持择期心脏手术患者的预康复治疗;同时,居家康复训练对于择期心脏手术患者的安全性在国内并没有得到充分的验证。本研究基于中国的康复医疗体系的现状,通过优化择期心脏瓣膜手术患者术前吸气肌训练方案,把一周的康复训练改进为三天的高强度训练模式,以实现患者在院内手术等待期的介入。本课题组在之前的预试验中已经初步探索了该方案的安全性、可行性和有效性[3]。现通过多中心临床试验进一步验证术前3天的吸气肌训练能否改善该类患者的术后肺部并发症的发生率,同时探讨其康复疗效的可能机制,并绘制了患者术后肺功能的恢复曲线,以将术前吸气肌训练转化为中国可行的临床实践。

基于以上目的,我们开展了一项由华西医院发起的多中心三臂随机对照试验。参与者招募时间为2022年6月至2023年6月。共有270名患者在华西医院、华中阜外心血管病医院和天津胸科医院参加了该研究。



肺不张与术后低氧血症和气体交换受损有关,其在心脏瓣膜手术患者中的发生率约为30%~72%。肺不张的危险因素包括麻醉、体外循环、术后伤口疼痛、固定和机械通气。外周手术术后肺不张可在短时间内消退[4],但在胸外科和心脏外科手术后却可能持续存在,并产生严重的消极影响。手术后的吸气肌力量和通气受损被认为是肺不张的主要原因之一。肺不张可进一步导致肺组织顺应性下降,呼吸负荷增加,从而引起呼吸肌疲劳[5]。因此我们推测,术前3天强化的吸气肌训练能增加吸气肌力量储备,从而在术后有效地保存吸气肌力量,从而有助于减少肺不张的发生。

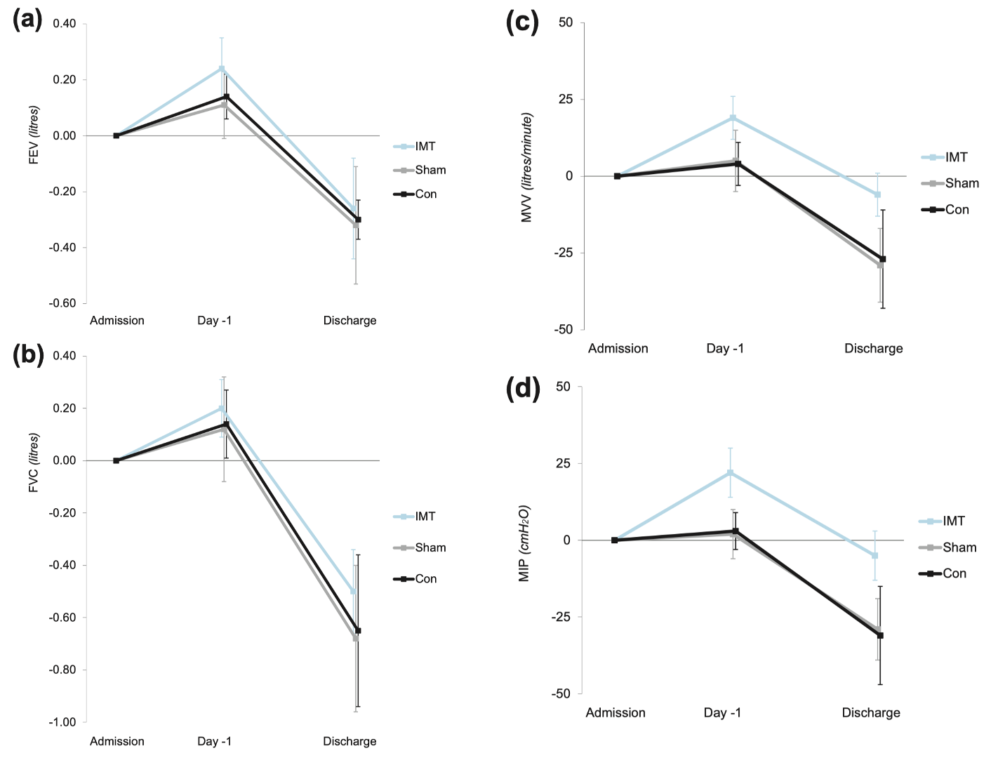
本研究表明,在择期心脏瓣膜术前,以30%最大吸气压进行为期3天的吸气肌训练,可提高FVC、FEV1、吸气肌肌力量和最大自主通气等肺功能参数,从而帮助提高患者对抗手术应激反应的生理储备。术后的结果也证实了干预组在术后更有效地保存了吸气肌力量,这可能是减少术后肺不张和肺炎的发生的潜在机制。


图2



参考文献

1.Shander A, Fleisher LA, Barie PS, et al. Clinical and economic burden of postoperative pulmonary complications: patient safety summit on definition, risk-reducing interventions, and preventive strategies. Crit Care Med, 2011, 39: 2163–2172. 

2.Snowdon D, Haines TP, Skinner EH. Preoperative intervention reduces postoperative pulmonary complications but not length of stay in cardiac surgical patients: a systematic review. J Physiother, 2014, 60: 66–77.

3. Luo Z, Zhang X, Wang Y, et al. An Accessible PreRehabilitation Bundle for Patients Undergoing Elective Heart Valve Surgery with Limited Resources: The TIME Randomized Clinical Trial. Rev Cardiovasc Med, 2023, 24: 308.

4. Fernandez-Bustamante A, Frendl G, Sprung J, et al. Postoperative Pulmonary Complications, Early Mortality, and Hospital Stay Following Noncardiothoracic Surgery: A Multicenter Study by the Perioperative Research Network Investigators. JAMA Surg, 2017, 152:157–166.

5. Boden I, Reeve J, Jernås A, et al. Preoperative physiotherapy prevents postoperative pulmonary complications after major abdominal surgery: a meta-analysis of individual patient data. J Physiother, 2024, 70: 216–223.


专家点评


赵红梅教授:对围术期患者进行预康复已经纳入多种外科疾病的临床管理路径,其安全性和有效性得到了充分的证据支持。而国外提供的预康复模式和中国现有的康复体系与临床管理模式存在差异,导致落地实施和推广困难。由四川大学华西医院康复医学中心喻鹏铭/老年医学研究中心何家源团队发表在JoP上,以术前住院期间3天的吸气肌强化训练的研究,正是对循证与实践差距之间的思考,该研究提出的预康复模式不仅能够在中国进行应用与推广,更为有限资源的中低收入国家提供了新的临床方案,相比与发达国家推行的预康复方案也更具医疗经济学效益。该研究的另一突出贡献在于通过严谨的统计学分析,呈现了心脏瓣膜围术期患者肺功能和呼吸肌力量的动态变化过程,为预康复在减少术后肺部并发症的作用机制方面提供了有价值的信息。

赵红梅,中日医院呼吸中心副主任,呼吸与危重症医学科主任医师、教授;中国康复医学会常务理事、呼吸康复专业委员会主委、吞咽障碍专业委员会副主委,中华医学会呼吸病学分会呼吸康复学组(筹)副组长,中国医师协会呼吸医师分会呼吸相关职业发展工作委员会副主委,中国医学装备协会呼吸病学装备技术委员会常务委员、呼吸危重症学组组长,北京康复医学会呼吸康复专委会主委。担任Thorax中文版副主编;《中华健康管理学杂志》和《中华劳动卫生职业病杂志》编委。长期致力于危重症早期康复,呼吸慢病管理和呼吸康复,以通讯作者完成《中国慢性呼吸道疾病呼吸康复管理指南(2021年)》等多篇呼吸康复相关指南;主编/主译《呼吸康复高阶教程》《呼吸疾病康复指南》《呼吸康复基础教程》《肺康复成功指南》《物理治疗和重症康复工作手册》等专著。获省部级优秀科研成果一等奖。

作者心得


越来越多的证据支持术前物理治疗干预可以降低术后肺部并发症的风险,尤其是术前吸气肌训练得到了充分的认识并作为重要的康复干预措施纳入临床路径。但目前中国对择期心脏手术患者术前的社区康复和居家康复远程监测体系尚未完善,国外术前1~2周在社区康复/居家康复的吸气肌训练方案在中国难以推广和实施,相应的康复干预通常只能在患者入院后通过物理治疗师的指导完成。基于此,本研究探讨构建通过入院后手术前的等待期进行吸气肌训练的可行性方案。本研究能够被接受发表,主要基于以下几点:本研究启动前的单中心临床试验验证了研究的可行性和安全性,为多中心研究奠定了基础;本研究是首次探索通过优化预康复方案实现从证据到临床实践的转化,同时为国际该类患者的预康复提供新思路;参与医院提供了完善的人力和专业支持,确保了试验的高质量推进和顺利完成。

本研究发表的《Journal of Physiotherapy》(JoP)是在康复医学领域享有盛誉的权威期刊,专注于物理治疗的科学理论及实践经验。期刊对论文质量要求极高,注重创新性、严谨性和临床意义。本论文2024年6月投稿, 6个月后有两位审稿专家评阅并进行了两次返修。审稿专家充分肯定了本研究的重要性,同时提出要以更清晰的方式展示统计设计与肺功能结果变化趋势的分析等建议。因此,我们多次咨询本领域同行和医院的统计学专家,逐条认真回复。在修稿中调整了结果呈现方式,使其能更直观地反映研究发现,并在讨论中更加充分地引用和评估相关文献。最终杂志认可了修改稿,文稿得以顺利发表。

本论文顺利发表彰显了多学科的协作和多角度审视的重要性,既提高了论文质量,也促进了学术交流和研究能力的提升。

通信作者

何家源,四川大学华西医院国家老年疾病临床研究中心特聘研究员,博士生导师,入选国家高层次青年人才计划。中国老年医学学会运动健康分会常委,中国康复医学会青年工作委员会常委。主要研究方向为脑机接口、神经接口、生机电智能系统,可穿戴设备等。以第一/通讯作者在IEEE Trans等类型期刊上发表论文20余篇,担任Journal of NeuroEngineering and Rehabilitation 期刊副主编,曾获教育部自然科学一等奖等。

第一作者

喻鹏铭,四川大学华西医院康复中心物理治疗师,副教授,硕士研究生导师,四川大学华西临床医学院康复医学系物理治疗教研室主任。四川大学华西医院康复医学中心,副治疗师长(分管科研)。四川大学华西医院眉山医院/眉山市人民医院,副院长。曾获得全国十佳物理治疗师等荣誉。担任中国康复医学会重症康复专业委员会常委。中国康复医学会呼吸康复专业委员会心肺物理治疗学组组长。中国康复医学会物理治疗专业委员会重症与心肺物理治疗学组副组长。四川省康复医学会呼吸分会副会长。四川省康复治疗师协会心肺与重症物理治疗专委会主任委员。临床特长:极危重症患者心肺康复物理治疗,围手术期患者心肺风险评估及康复治疗,机械通气患者的脱机康复。研究方向:心肺与重症康复物理治疗及教育。

微信扫一扫,阅读更方便^_^


路过

雷人

握手

鲜花

鸡蛋

2009国际会议|小黑屋|川卫网审2013-330号|蜀ICP备16010396号-6|四川大学华西医院康复医学中心

成都市网上报警
不良信息举报中心 不良信息
举报中心
川公网安备 51010702000786号||Copyright by WWW.HXKF.CN All Right Reserved.2002/12/26-2021
四川大学华西临床医学院华西康复医学院|四川大学华西医院华西康复医学中心| 版权所有 Email:
网管:刘沙鑫||
点击这里给我发消息华西康复医学中心(1)华西康复医学中心(2)
华西康复主站
新浪微博
腾讯微博
微信服务号
微信订阅号
微信交流号
站点个人言论只属个人观点,不代表本站观点!如有侵权,请来电来函!
本站内容解释权归华西康复医学中心,未经授权许可不得转载他用!
站点相关内容,仅供学习交流,请勿用于其他商业用途!
网络信息不能进行诊断、治疗,如有需要请前往医院诊治!

GMT+8, 2025-11-17 04:37 , Processed in 0.098737 second(s), 19 queries .

Powered by Discuz! X3.5

© 2001-2025 Discuz! Team.

返回顶部